Abstract

Background:
Mexico and Central America have a high incidence of acute lymphoblastic leukemia (ALL) in adolescents and young adults (AYA). Chemotherapy with Hyper-CVAD has been widely used with poor outcomes, with a 3-year overall survival (OS) of 25.7% in this group of age.
In low-and middle-income countries (LMIC), limitations in supportive care such as low access to neutrophil stimulant agents, antifungal prophylaxis and limited intensive care access, may increase treatment-related mortality. On the other hand, reports suggest that specific high-risk subgroups may be more frequent in Hispanic patients from Mexico and Central America.
We hypothesize that the use of a less-myeloablative regimen, based on L-asparaginase could overcome the bad outcomes previously reported.
Methods
We modified the original CALGB 10403 based on local drug-access. We include patients with newly diagnosed Philadelphia-negative B- or T-cell ALL between 14-49 years from 4 centers in Mexico and one in Guatemala.
We modified the regimen as following: replaced pegaspargase by E. Coli asparaginase, thioguanine by 6-mercapatopurine and incorporate rituximab 375mg/m2 for 6 doses in CD20 positive patients. After the first interim analysis (October 2019), we replaced the prednisone by dexamethasone during induction. Minimal residual disease (MRD) was assessed by flow cytometry after induction and after first consolidation. We considered high-risk karyotype if MLL-rearrangements, complex or hypodiploid and high-white blood cell count (WBC) if >30 x10 3/mcL for B-ALL or >100 x10 3/mcL for T-ALL.
The main objective was to evaluate OS and as secondary objectives to evaluate complete response (CR) rate, relapse-free survival (RFS) and to assess the safety of this regimen.
Results
From January 2017 to December 2020, 95 patients have been enrolled with a median age of 23 years (range 14-49). One third (34.6%) had overweight and 11.7% were obese.
The majority (92.6%) had a B-cell ALL and a normal karyotype (81.2%). The median WBC was 18.4 x10 3/mcL (0.2-427.7) and 40.9% had a high-WBC.
During induction, adverse events (AE) included grade 3/4 elevated bilirubin (21.1%), transaminases (14.7%), hyperglycemia (14.7%), hypofibrinogenemia (44.2%), thrombosis (10.5%), hypersensitivity (2.2%) and pancreatitis (2.1%). During consolidation, AE included grade 3/4 hepatic toxicity (18.9%), hypertriglyceridemia (14.8%), thrombosis (5.3%) and pancreatitis (2.1%).
Neutropenic fever occurred in 55.8% during induction (grade 4: 31.5%), and in 32.9% during consolidation (grade 4/5: 5.3%).
A dose adjustment due to AE was required in 22.1% during induction and in 23.2% during consolidation. The induction related-mortality (IRM) rate was 7.4%
The CR rate was 87.8%. After-induction, MRD was <0.01% in 39.1%, 0.01-0.1% in 39.1% and > 0.1% in 24.6%. Post-consolidation MRD was only measured in 43 patients and was <0.01% in 37.2%. During follow-up, 26.7% relapsed: 62.5% bone marrow (BM) relapses, 25.0% central nervous system (CNS) relapses and 12.5% CNS + BM relapses. Eight patients (8.4%) received an allogeneic-stem cell transplant (HSCT) as consolidation.
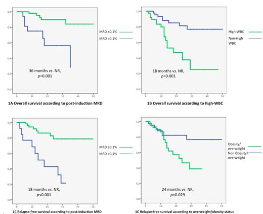
The 2-year OS was 72.1%. The post-induction MRD <0.1% was associated with a better OS (figure 1A) (HR: 0.17 (95%CI: 0.06-0.55), p=0.003) and a high-WBC with an inferior OS (figure 1B) (HR: 4.13 (95%CI: 1.68-10.14), p=0.002).
The 2-year RFS was 65.2%. The post-induction MRD <0.1% was associate with a better RFS (figure 1C) (HR: 0.19 (95%CI: 0.07-0.50), p=0.001) and a high-WBC and overweight / obesity with an inferior RFS (HR: 4.08 (95%CI: 1.71-9.73), p=0.001 and 2.50 (95%CI: 1.06-5.86), p=0.036 respectively) (figure 1D).
Conclusions:
The adoption of modified CALGB10403 regimen in Central America based on local resources is feasible. It is associated with a significant improvement in the OS and decrease in IRM when compared with previous reports. Despite a very high-rate of hepatic and metabolic toxicities, these were manageable. As reported by other groups, MRD, high-WBC and overweight/obesity are associated with poor outcomes.
Despite being encouraging results, a significant number of patients persist with positive MRD and the main cause of dead is disease progression. Access to cellular therapies, and BiTes is cost restricted in LMIC. Hence, we should generate strategies to intensify treatment in MRD positive patients and expand transplant access to overcome outcomes.
Rangel-Patiño: Bristol: Consultancy; Abbvie: Speakers Bureau. Ceniceros: Amgen: Speakers Bureau. Espinosa: Amgen: Speakers Bureau; Janssen: Consultancy; Pfizer: Consultancy. Amador: Abbvie: Consultancy, Speakers Bureau; Bristol: Consultancy. Cabrero Garcia: Takeda: Speakers Bureau; Abbvie: Speakers Bureau; Roche: Speakers Bureau; Janssen: Speakers Bureau; Astellas: Consultancy; BD: Speakers Bureau. Inclan-Alarcon: Janssen: Speakers Bureau; Boehringer: Speakers Bureau. Neme Yunes: Janssen: Consultancy, Speakers Bureau; Bristol: Consultancy, Speakers Bureau; Novartis: Consultancy, Speakers Bureau; Bristol: Consultancy, Speakers Bureau; Abbvie: Consultancy, Speakers Bureau; Abbvie: Speakers Bureau. Meillon-García: Amgen: Consultancy, Speakers Bureau; Novartis: Consultancy, Speakers Bureau; Roche: Speakers Bureau; Astellas: Consultancy. Apodaca: Sanofi: Consultancy; Asofarma: Consultancy, Speakers Bureau; Abbvie: Speakers Bureau. Demichelis: Bristol/Celgene: Consultancy, Speakers Bureau; Astellas: Consultancy; Gilead: Consultancy; ASH: Research Funding; Abbvie: Consultancy, Speakers Bureau; AMGEN: Consultancy, Speakers Bureau; Novartis: Consultancy, Research Funding, Speakers Bureau; Jazz: Consultancy.
Author notes
This icon denotes a clinically relevant abstract

This feature is available to Subscribers Only
Sign In or Create an Account Close Modal